網頁
首頁
訊息公告
班級榮譽
我們這一班
作品欣賞
活動花絮
悅讀寫作
品德教育
網站連結
歡迎光臨四年八班悅讀天地
2013年10月6日 星期日
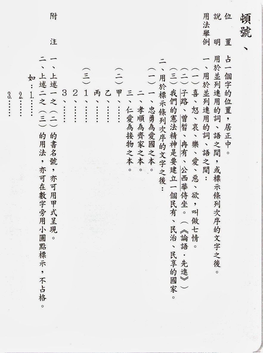
認識標點符號:頓號、分號
引用來源:翰林出版社
沒有留言:
張貼留言
較新的文章
較舊的文章
首頁
訂閱:
張貼留言 (Atom)
沒有留言:
張貼留言